Sucesiones
(74) ejercicios de Sucesiones
-
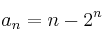
Estudia la monotonía y acotación de la siguiente sucesión:

-
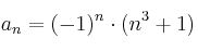
Estudia la monotonía y acotación de la siguiente sucesión:

-
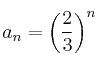
Estudia la monotonía y acotación de la siguiente sucesión:

-
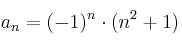
Estudia la monotonía y acotación de la siguiente sucesión:

-
Estudia la monotonía y acotación de la siguiente sucesión:
