Sucesiones
(74) ejercicios de Sucesiones
-
Estudia la monotonía y acotación de la siguiente sucesión:

-
Estudia la monotonía y acotación de la siguiente sucesión:

-
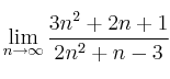
Halla el siguiente límite de sucesiones:

-
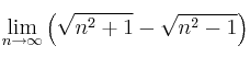
Halla el siguiente límite de sucesiones:

-
Halla el siguiente límite de sucesiones:
